Next Project
Medal Winner 2003

Golden Mile Casino Proposal: A strategy in regards to recent UK gaming legislation

Part 2 Project 2003
Artur Ferreira Viveiros
London Metropolitan University | UK
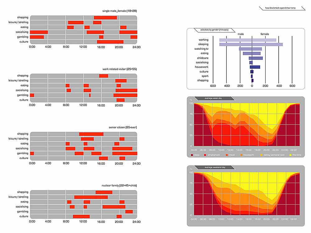
This project explores the plan to revitalise Blackpool’s Golden Mile and it is set in context of recent UK gaming legislation. It attempts to question the value of Blackpool’s current strategy to adopt an Atlantic City development policy. This would bring gaming into the mainstream of entertainment and use it as the sole catalyst for regenerating this coastal town, which may have a disastrous impact on local businesses and the community. To me a more sensible objective is to keep the casinos open to, and reliant on the Golden Mile; turn the seasonal tourism industry into a 12-month resort, capable of catering for the family orientated market, with the local community at hearth.


Artur Viveiros is an exemplarily hard working and inquisitive student. Already in our meeting with the Lord Mayor of Blackpool, he started to question the strategy, which had been adopted by Blackpool to position them as the “Las Vegas of the North”. He played an integral part in redefining and reducing the brief of a proposed “Las Vegas style” casino that was given to us by the Blackpool planners. In the project he demonstrates an excellent ability in collecting, diagramming and utilising various data. The end result is a “resort style casino” (where the gaming is a support function) open to the city and the boardwalk, which appears to be three separated buildings connected by a park landscape. We wait in anticipation for the day, when the project will be presented to the Mayor and planners of Blackpool.

2003
• Page Hits: 21830         • Entry Date: 07 July 2003         • Last Update: 07 July 2003